Внимание! Плановое отключение света

26 сентября 2022 г., понедельник

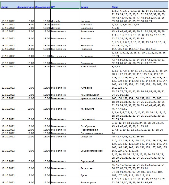
Уважаемые мензелинцы! 13 октября 2022 года с 09:00 до 16:00 час. в связи с проведением  работ планируется отключение электроэнергии по адресам:

Приносим извинения за доставленные неудобства.

ПОДПИСАТЬСЯ НА НОВОСТИ
Все материалы сайта доступны по лицензии:
Creative Commons Attribution 4.0 International